产品咨询热线 400-83-29299     搜索     русский язык  |  English
x

首页 > 水刀研究院
水刀水射流速度计算方法
来源: 时间:2021-05-14 浏览:7793
应用伯努利方程,分析了水刀高压管内水流体的能量变化,简化了水射流速度的计算方法,使实际应用中能了 解到水射流速度与增压缸输出压力变化的相互关系。
1 引 言
      超高压数控喷水加工设备又称“水刀”。水刀的增压缸可将水的压力由 1 个大气压增加至300MPa 以上,经宝石喷嘴高速喷出的水射流可轻易地切割橡胶、皮革、塑料等,在水射流中添加砂料后,可切割石材、玻璃、陶瓷、钢板等。在数控系统的驱动下,可以切割任意形状的板材,如拼花图案等。
      在超高压状态下,从水刀喷嘴高速喷出的水射流速度能达到多少米每秒呢?本文即利用伯努利方程,介绍水刀的水射流速度计算方法,以便了解从水刀喷嘴喷出的水射流速度与增压缸输出压力变化的相互关系。
水刀设备的参数
      宝石喷嘴内径:0.3mm。
      增压缸输出水压:最高 350MPa。
      高压水管内径:∅3mm。
建立数据模型简化计算方法
      参考工程流体力学相关资料,水在温度不变的条件下(0℃),压力为 1MPa 时,每增加 0.1MPa 时,水的体积变化仅为 5.27×10-5;压力为 8MPa 时,每增加 0.1MPa 时,水的体积变化仅为5.05×10-5;随着压力的增高,水的体积压缩系数还在减小。当水压从 1MPa 增加至 200MPa 时,水的体积变化减少约为 0.1%。可见,水的压缩率是很小的,所以在本文计算水射流速度的过程中,不考虑水的压缩变化量,认为水是不可压缩的理想流体。

      在水刀设备工作时,自来水经增压缸增压后,从高压管输送到宝石喷嘴,经宝石喷嘴喷出形成水射流。

      高压水流路径示意图如图 1 所示,高压水流经高压水管从 1-1 断面流至宝石喷嘴出口 2-2 断面,其中高压水管 1 -1 断面处装有水压表,可以监测工作水压。在正常工作中,高压水管的密封性能良好,可以认定在管道中的理想流体的流动条件相对稳定。

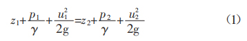
      按照单位重量不可压缩理想流体在稳定流动条件下沿流线的伯努利方程,可以写出高压水管流线中 1-1、2-2 两有效断面的能量方程(以绝压计算)为:


其中 z1、z2 表示单位重量水流体所在位置所具有的位能,在水刀设备中设定的 1-1、2-2 两有效断面的中心点高度相近,因而可以认为 z1=z2。
      p1/γ表示单位重量水流体在 1-1 有效断面中心点(即压力表处)所具有的压力能,p1 的数值为压力表读数。p2/γ表示单位重量水流体在 2-2 有效断面中心点(即宝石喷嘴出口)所具有的压力能,在宝石喷嘴出口处,水射流的压力接近大气压,p2 约为 0.1MPa。在超高压水刀中,由于工作压力可达 300MPa 以上,p1 比 p2 大得多,故 p2/γ可以忽略不计,γ 为水的重度。
上一条:数控水刀在石材切割中的应用研究
下一条:薄壁圆管件端部缺口及孔的冲裁模设计
友情链接:
奥拓福水刀水切割厂家质量最好【官网】 版权所有 Copyright 2019-2025 辽ICP备2021002461号-1
首页
产品中心
电话咨询