首页
>
关于奥拓福
>
公司简介
产品中心
>
工程水刀
切割平台
高压泵组
便携水刀
激光切割
定制水刀
配件专区
>
配件专区
案例展示
>
水刀研究院
>
新闻资讯
>
公司新闻
行业资讯
应用案例
>
定制服务
>
技术合作
>
联系我们
>
русский язык
|
English
产品咨询热线
400-83-29299
русский язык
|
English
首页
产品中心
工程水刀
切割平台
高压泵组
便携水刀
激光切割
定制水刀
配件专区
配件专区
案例展示
水刀研究院
新闻资讯
公司新闻
行业资讯
技术合作
联系我们
x
首页
>
水刀研究院
电子齿轮比设定
来源:
时间:2021-07-20
浏览:7045
DMC-4080运动控制器以脉冲指令的形式向驱动器发送命令,进而控制机床
运动。一个脉冲使机床运动轴移动的距离称为指令单位。电子齿轮比是伺服驱
动器普遍拥有的功能,通过电子齿轮比的设定,伺服驱动器能够把上位控制器
发送的一个脉冲转换为机床运动轴的移动量。也就是说通过驱动器上的电子齿
轮比可以设定实际需要的指令单位。
按照图2.5的机械结构,以使运动轴移动10mm为例,比较不使用和使用电
子齿轮时的区别。
不使用电子齿轮时:
(1)计算转动圈数:电机每1圈转动6mm,因此将工件移动10mm时,转
动圈数为10/6圈;
(2)计算所需的指令脉冲数:16777216个脉冲为1圈,因此,所需脉冲数
为“10/6X16777216=27962026.66…个脉冲”;
(3)输入27962027个脉冲的指令。
使用电子齿轮时:
以1 μm为指令单位,即每1个脉冲的移动量为1
μ
m。需移动10mm(10000μm)
时,"10000÷1=10000个脉冲”,因此输入10000个脉冲。
经上述比较看出,不使用电子齿轮时每发送不同指令都需在上位机中分别
计算指令脉冲数,使得编程操作过于繁琐;使用电子齿轮时无需根据不同指令
分别计算指令脉冲数,只需根据需要的指令单位计算出对应的电子齿轮比,并
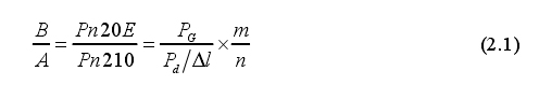
通过伺服驱动器的参数Pn20E和Pn210分别设定电子齿轮比分子分母即可。电
子齿轮比的值可通过下式求得。
其中,B为电子齿轮比的分子即参数Pn20E应设定的值,A为电子齿轮比
的分母即参数Pn210应设定的值,PG为电机编码器分辨率,Pd为运动轴的滚珠
丝杠导程,△l为指令单位。m/n为电机轴和负载侧的机器减速比(即电机旋转m
圈时负载轴旋转n圈)。
电子齿轮比的设定实例如表2.1所示。
上一条:
运动控制器功能
下一条:
控制系统软件架构
友情链接:
uv打印机
水刀
水切割机
水刀厂家
矿用光缆
ADC弹性地板
网站首页
关于奥拓福
公司简介
新闻资讯
公司新闻
行业资讯
应用案例
联系我们
400-83-29299
售后服务
售前服务
关注公众号
奥拓福水刀水切割厂家质量最好【官网】 版权所有 Copyright 2019-2025
辽ICP备2021002461号-1