1.高压射流冲击刚壁的流场分布
高压射流清理材料表面过程的流场按其流动性分成3个区域,自由射流区、冲击区和壁面射流区,自由射流区内,射流受壁面的影响非常小,因此可以认为该区域的流动性与自由射流相同,在冲击区射流急速改变方向,由轴向流动变为径向流动,并且存在极大的压力梯度。该区域是引起壁面发生弹塑性变形,甚至塑性去除、脆性去除或断裂的集中区域。壁面射流区的流动速度减弱,而且相对平稳,因此一般不会发生避免材料变形或去除。

2.高压水射流试验系统
为研究高压水射流与高压磨料射流对刚壁冲击力的分布规律,设计了高压水射流测力系统,整个系统包括高压射流系统、测力系统与电控系统3个部分。高压射流系统由高压栓塞泵、水箱、过滤器、调节阀、单向阀、压力表、节流阀、溢流阀、喷头等组成:测力系统由测力台、测力传感器、数显表、采集卡、PC端等组成,电控系统主要是通过变频器对电机实施变频控制。试验时,把设置靶距参数,选定测力台,开启高压射流系统,通过变频器调节电机转速控制系统水压至设定值,由PC端采集记录工作台下的冲击力值。测力台承受射流冲击的面积为圆形,由N个圆盘构成,按照面积从小到大进行编号,其直径为 7(N+1)mm,N∈(1,2…21),由标准1kg砝码对照数显表进行标定,利用两相邻圆盘的射流冲击力的差值,确定其各阶段冲击力值。

3.射流冲击刚壁的压力分布
选定140mm靶距,下图为试验获得的在不同系统压力下纯水射流和磨料射流冲击刚壁压力随径向距离变化关系(多次试验的平均值)由图可知,随径向距离增加,在1阶冲击力值(偏离中心位置7mm)后,冲击压力急速降低,是一非单调递减的阶梯函数,连接各阶中点位置,可视其为具非单调负指数下降规律(负指数函数和低幅谐波函数的叠加),而非切割小口径喷嘴射流形成的近似高斯分布规律。压力急速下降的负指数关系是由于射流在冲击区沿径向改变方向后射流速度的耗散,导致非单调下降的低幅谐波变化尚待进一步的理论和试验研究。系统压力增加,射流压力增加,呈正相关变化关系,但对射流压力的总体分布规律影响很小,磨料射流呈除相应的冲击压力增加外,其分布规律基本有纯水射流一致。

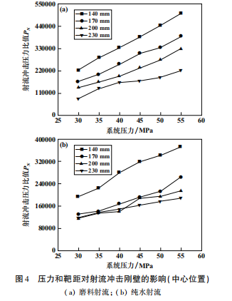
4系统压力和靶距对射流冲击刚壁的影响
下图给出了纯水和磨料射流在不同系统工作压力和靶距的情况下,最大冲击压力(中心位置)的比较。
在靶距不变的情况下,无论纯水还是磨料射流吗,其冲击压力与系统压力呈正相关,不同的是纯水射流在靶距140mm时,射流冲击压力明显大于其余3个靶距(170mm,200mm,230mm)的冲击压力,且后3个靶距的冲击压力相近,而对于磨料射流,其冲击压力随靶距增大,近似等速率降低,呈负相关变化。

5.磨料强化效果分析
磨料射流和纯水射流的对比试验表明:在一定条件下,磨料的加入对射流冲击压力有显著的强化效果,这是由于磨料射流为二相流冲击,其密度远大于纯水射流的缘故。V=(Pa-Pw)/Pw其中Pa为磨料射流冲压力;Pw为纯水射流冲击压力。
6总结
(1)建立了专用的射流测力工作台,利用不同直径圆盘承受冲击力的差值得出了纯水和磨料射流冲击刚壁的压力分布,磨料射流除冲击压力显著增加外,和纯水射流具有相近的压力分布,射流冲击力随径向距离增加急速降低,是一非单调递减阶梯函数可视其为具非单调负指数下降规律,而非切割小口径喷嘴射流形成高斯分布规律。
(2)对系统工作压力和靶距对冲击力的影响研究表明:在靶距不变的情况下,无论纯水射流还是磨料射流,其中心(最高压力)位置的冲击压力和系统压力呈正相关,纯水射流在靶距140mm时,冲击压力明显大于其他3个靶距(170,200和230mm)的冲击压力;而对于磨料射流,冲击压力随靶距增大,近似等速率降低,成负相关变化。
(3)磨料的加入对射流冲击力有显著得强化效果。这是由于磨料射流为两相流冲击,其密度远大于纯水射流的缘故。系统压力不大于50Mpa、靶距170mm和系统压力大于50MPa、靶距200mm的情况,具有较高的强化系数。其中系统压力45MPa、靶距170mm。系统压力50MPa,靶距170mm和系统压力55MPa、靶距200mm达到试验参数的最优值,可以认为没在这些情况下具有较佳的能量利用率和射流功效。
(4)在绝大部分系统工作压力区段,平均强化系数随工作压力增大而增大,其强化效能与系统工作压力呈正相关关系。